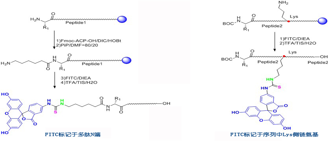
多肽熒光標記由于沒有放射性,實驗操作簡單。因此,目前在生物學研究中多肽熒光標記應用非常廣泛,多肽熒光標記方法與熒光試劑的結構有關系,對于有游離羧基的采用的方法與接多肽反應相同,也采用HBTU/HOBt/DIEA方法連接。 在N端標記FITC的多肽需經歷環化作用來形成熒光素,通常會伴有最后一個氨基酸的去除,但當有一個間隔器如氨基己酸,或者是通過非酸性環境將目的多肽從樹脂上切下來時,這種情況可避免在切割的過程中被TFA切割掉。
人們利用利用熒光標記的多肽來檢測目標蛋白的活性,并將 其發展的高通量活性篩選方法應用于疾病治療靶點蛋白的藥物篩選和藥物開發(例如,各種激 酶、磷酸酶、肽酶等)。
正肽生化能夠提供技術成熟的各種熒光標記多肽。
下面是一些常見的多肽修飾熒光物質結構:

FITC標記 FITC(異硫氰酸熒光素)具有比較高的活性,我們公司可以通過兩種方式將FITC標記于多肽 上:(1) 將FITC標記于賴氨酸(Lys)或被選擇性地脫保護的鳥氨酸(ornithine)側鏈氨基 上;(2) 將FITC標記于多肽N端氨基。
當在N端標記時,建議在最后一個氨基和由異硫氰酸酯與氨基反應產生的硫脲鍵之間引入 烷基間隔器(alkyl spacer),如氨基己酸(Ahx)。鏈接切割需要酸性環境,在N端標記FITC 的多肽需經歷環化作用來形成熒光素,通常會伴有最后一個氨基酸的去除,但當有一個間隔器 如氨基己酸,或者是通過非酸性環境將目的肽從樹脂上切下來時,這種情況可避免??臻g位阻 被認為是在熒光染料前使用Ahx的主要原因,而不是為什么FITC不能直接偶聯在多肽上的原因。
Ahx或b-Ala均可作為間隔器用于FITC標記的多肽上。

普通熒光修飾
| 熒光修飾中文名稱 | N端 | N端帶有linker |
| 生物素標記多肽 | Biotin- | Biotin-Ahx- |
| 異硫氰酸熒光素 | FITC- | FITC-Ahx- |
| 5-羧基熒光素 | 5-FAM- | 5-FAM-Ahx- |
| 丹磺酰熒光素 | Dansyl- | Dansyl-Ahx- |
| 5-羧基四甲基羅丹明 | TMR- (TAMRA-) | TMR-Ahx- (TAMRA-Ahx-) |
通過Lys側鏈氨基連接的熒光修飾
| 多肽N端 | 多肽序列中間 | N端帶有linker |
| 生物素標記多肽 | Biotin- | 多肽C端 |
| Lys(Biotin)- | -Lys(Biotin)-- | -Lys(Biotin) |
| Lys(FITC)- | -Lys(FITC)- | -Lys(FITC) |
| Lys(5-FAM)- | -Lys(5-FAM)- | -Lys(5-FAM) |
| Lys(Dansyl)- | -Lys(Dansyl)- | -Lys(Dansyl) |
| Lys(TMR)- | -Lys(TMR)- | -Lys(TMR) |
| Lys(Dnp)- | -Lys(Dnp)- | -Lys(Dnp) |
我司常做的熒光物質的激發光波長和發射光波長??晒﹨⒖歼x擇:| 熒光基團 | Ex(nm) | Em(nm) | 熒光基團 | Ex(nm) | Em(nm) |
| 羥基香豆素 | 325 | 386 | R-phycoerythrin (PE) (489) | 565 | 578 |
| 丹磺酰氯 | 340 | 578 | Rhodamine Red-X | 560 | 580 |
| AMC | 345 | 445 | Tamara | 565 | 580 |
| 甲氧基香豆素 | 360 | 410 | Alexa fluor 555 | 556 | 573 |
| Alexa fluor 系列 | 345 | 442 | Alexa fluor 546 | 556 | 573 |
| 氨基香豆素 | 350 | 445 | Rox | 575 | 602 |
| Dabcyl | 453 | - | Alexa fluor 568 | 578 | 603 |
| Cy2 | 490 | 510 | Texas Red | 589 | 615 |
| FAM | 495 | 517 | Alexa fluor 594 | 590 | 617 |
| Alexa fluor 488 | 494 | 517 | Alexa fluor | 621 | 639 |
| FITC | 495 | 519 | Alexa fluor 633 | 650 | 668 |
| Alexa fluor 430 | 430 | 545 | Cy5 (625) | 650 | 670 |
| 5-FAM | 492 | 518 | Alexa fluor 660 | 663 | 690 |
| Alexa fluor 532 | 530 | 530 | Cy5.5 | 675 | 694 |
| HEX | 535 | 556 | TruRed | 490; 675 | 695 |
| 5-TAMRA | 542 | 568 | Alexa fluor 680 | 679 | 702 |
| Cy3 | 550 | 570 | Cy7 | 743 | 767 |
| TRITC | 547 | 572 | Cy3.5 | 581 | 596 |